PRAVILNIKO OZNAČAVANJU ENERGETSKE EFIKASNOSTI RASHLADNIH UREĐAJA SA FUNKCIJOM DIREKTNE PRODAJE("Sl. glasnik RS", br. 100/2025) |
Ovom pravilnikom propisuju se zahtevi u pogledu energetskog označavanja rashladnih uređaja sa funkcijom direktne prodaje koji se napajaju iz električne mreže, uključujući uređaje koji se koriste za hlađenje neprehrambenih proizvoda, obaveze isporučilaca i prodavaca rashladnih uređaja sa funkcijom direktne prodaje, merne metode, postupak provere usaglašenosti proizvoda sa zahtevima energetskog označavanja u svrhu tržišnog nadzora, postupak određivanja klase energetske efikasnosti, izgled, dizajn i format energetske oznake, lista sa podacima, sadržaj tehničke dokumentacije, informacije koje je potrebno obezbediti prilikom vizuelnog oglašavanja, u tehničkim promotivnim materijalima, prilikom prodaje na daljinu i preko interneta, kao i drugi zahtevi u vezi sa energetskim označavanjem rashladnih uređaja sa funkcijom direktne prodaje.
Ovaj pravilnik se ne primenjuje na:
1) rashladne uređaje sa funkcijom direktne prodaje sa isključivo neelektričnim izvorima napajanja;
2) rashladne uređaje sa funkcijom direktne prodaje koji ne koriste kompresorski rashladni ciklus;
3) odvojene komponente, poput kondenzacione jedinice, kompresora ili kondenzatora sa vodenim hlađenjem, na koje se rashladna vitrina sa odvojenim rashladnim sistemom priključuje da bi radila;
4) rashladne uređaje sa funkcijom direktne prodaje za preradu hrane;
5) rashladne uređaje sa funkcijom direktne prodaje koji su posebno ispitani i odobrene za čuvanje lekova ili laboratorijskih uzoraka;
6) rashladne uređaje sa funkcijom direktne prodaje koji služe za prodaju i izlaganje živih prehrambenih proizvoda poput rashladnih uređaja za prodaju i izlaganje živih riba i školjki, rashlađenih akvarijuma i kontejnera za vodu;
7) rashladne stolove;
8) horizontalne poslužne rashladne vitrine sa ugrađenim skladišnim prostorom, projektovane za rad na radnoj temperaturi hlađenja;
9) rashladne uređaje sa funkcijom direktne prodaje koji nemaju ugrađen sistem za hlađenje, nego sistem kanala za rashlađen vazduh koji se proizvodi u spoljnoj jedinici za hlađenje vazduha, u koje ne spadaju rashladne vitrine sa odvojenim rashladnim sistemom i rashladni automati za prodaju šeste kategorije iz Priloga 3 - Merne metode i proračuni, koji je odštampan uz ovaj pravilnik i čini njegov sastavni deo (u daljem tekstu Prilog 3.), Tabela 3 - Temperaturni uslovi i odgovarajući temperaturni koeficijenti (C);
10) ugaone/zakrivljene i okretne rashladne vitrine;
11) automate za prodaju koji su projektovani za rad na radnoj temperaturi zamrzavanja;
12) poslužne rashladne vitrine za ribu sa izdrobljenim ledom;
13) profesionalne rashladne vitrine, brze rashlađivače, kondenzacione uređaje i procesne rashladne uređaje;
14) uređaje za čuvanje vina i minibarove.
Pojedini izrazi upotrebljeni u ovom pravilniku imaju sledeće značenje:
1) rashladni uređaj sa funkcijom direktne prodaje je samostojeća rashladna vitrina sa jednim ili više odeljaka u kojima se temperatura održava na zadatim vrednostima, koji se hlade prirodnom ili prinudnom konvekcijom na jedan ili više načina koji troše energiju; upotrebljava se za izlaganje i prodaju, sa ili bez pomoći pri posluživanju, prehrambenih ili drugih proizvoda na određenim temperaturama nižim od temperature okoline, koji su direktno dostupni kroz otvore ili jedna ili više vrata ili ladica, ili oboje, uključujući rashladne uređaje sa funkcijom direktne prodaje sa površinama za čuvanje prehrambenih ili drugih proizvoda koji nisu dostupni kupcima, osim minibarova i uređaja za čuvanje vina;
2) prehrambeni proizvodi su hrana, sastojci, pića, uključujući vino, i ostali artikli koji se prvenstveno upotrebljavaju za konzumaciju i koje je potrebno hladiti na određenim temperaturama;
3) kondenzacioni uređaj je proizvod u koji je ugrađen najmanje jedan kompresor sa električnim pogonom i jedan kondenzator, koji može da ohladi rashladni uređaj ili sistem unutar kog neprekidno održava nisku ili srednju temperaturu, koristeći ciklus kompresije pare kada je spojen s isparivačem i ekspanzionim uređajem;
4) rashladna vitrina sa odvojenim rashladnim sistemom je rashladni uređaj sa funkcijom direktne prodaje koji se sastoji od fabričkog sklopa komponenata i koji se, da bi radio kao rashladni uređaj sa funkcijom direktne prodaje, povezuje sa odvojenim delovima (kondenzacionim uređajem i/ili kompresorom i/ili kondenzatorom sa vodenim hlađenjem) koji nisu sastavni deo rashladne vitrine;
5) rashladni uređaj sa funkcijom direktne prodaje za preradu hrane je rashladni uređaji sa funkcijom direktne prodaje posebno ispitan i odobren za preradu hrane, kao što je uređaj za pripremu sladoleda, ili za pripremu leda, ili rashladni automat opremljen mikrotalasnom pećnicom; u ovu vrstu rashladnog uređaja ne spadaju uređaji sa funkcijom direktne prodaje sa odeljkom specijalno projektovanim za preradu hrane koji zauzima manje od 20% neto zapremine uređaja;
6) neto zapremina je deo bruto zapremine odeljka koji se dobija kad se oduzme zapremina sastavnih delova i prostora koji se ne koristi za čuvanje ili izlaganje prehrambenih i drugih proizvoda, izražen u kubnim decimetrima [dm3] ili litrima [l];
7) bruto zapremina je zapremina prostora unutar odeljka bez unutrašnje opreme i sa zatvorenim vratima ili poklopcem, izražena u kubnim decimetrima [dm3] ili litrima [l];
8) posebno ispitan i odobren znači da je proizvod u skladu sa sledećim zahtevima:
(1) posebno je projektovan i ispitan za navedene radne uslove ili primenu, u skladu sa propisima i/ili relevantnim harmonizovanim ili međunarodnim standardima;
(2) ima priložene dokaze koji spadaju u tehničku dokumentaciju da je posebno odobren za navedene radne uslove ili primenu, u obliku potvrde, homologacijske oznake ili izveštaja o ispitivanju;
(3) stavljen je na tržište za navedene radne uslove ili primenu, što je vidljivo iz tehničke dokumentacije, informacija o proizvodu i promotivnih i reklamnih materijala;
9) rashladni sto je rashladni uređaj sa funkcijom direktne prodaje sa jednim ili više vrata ili ladica na vertikalnoj površini i otvorima na gornjoj površini u koje mogu da se umetnu posude za privremeno čuvanje prehrambenih proizvoda, kao što su dodaci za pice ili sastojci za salate, sa lakim pristupom;
10) horizontalne poslužne rashladne vitrine sa ugrađenim skladištem su horizontalne vitrine koje služe za posluživanje sa rashlađenim kontejnerom od najmanje 100 litara [l] po dužnom metru [m], koji je obično postavljen na bazu poslužne rashladne vitrine;
11) horizontalna rashladna vitrina je rashladni uređaj sa funkcijom direktne prodaje sa vodoravnim izlogom koji se otvara sa gornje strane i kome se pristupa odozgo;
12) radna temperatura hlađenja je temperatura između -3,5 °C i 15 °C kod uređaja koji su opremljeni sistemom upravljanja energijom radi uštede, odnosno između -3,5°C i 10°C kod ostalih uređaja;
13) radna temperatura je referentna temperatura u odeljku tokom ispitivanja;
14) rashladni automat za prodaju je rashladni uređaj sa funkcijom direktne prodaje projektovan da prihvati novac ili žetone korisnika i zauzvrat učini dostupnim ohlađene prehrambene ili druge proizvode bez pomoći prodavca;
15) ugaona/zakrivljena rashladna vitrina je rashladni uređaj sa funkcijom direktne prodaje kojim se postiže geometrijski kontinuitet između dva linearne rashladne vitrine postavljene pod uglom i/ili koje formiraju krivu liniju; uređaj nema prepoznatljivu uzdužnu osu ili dužinu jer se sastoji od elementa koji ispunjavaju prazan prostor (npr. u obliku klina) i nije projektovan da funkcioniše kao samostojeći rashladni uređaj. Stranice ugaone vitrine sklapaju ugao od 30 ° do 90 °;
16) radna temperatura zamrzavanja je temperatura ispod -12 °C;
17) poslužna rashladna vitrina za ribu sa izdrobljenim ledom je horizontalna rashladna vitrina koja služi za posluživanje, projektovana i stavljena na tržište isključivo za izlaganje sveže ribe, koja ima ugrađen odvod, pri čemu se temperatura izložene sveže ribe održava slojem izdrobljenog leda;
18) uređaj za čuvanje vina je rashladni uređaj koji ima samo jednu vrstu odeljka za čuvanje vina sa preciznim uređajem za regulisanje uslova čuvanja i ciljne temperature i sa merama za sprečavanje vibracija;
19) odeljak je zatvoren prostor unutar rashladnog uređaja sa funkcijom direktne prodaje, odvojen od drugih odeljaka pregradom, kontejnerom ili sličnim elementom, kome može direktno da se pristupi kroz jedna ili više spoljnih vrata i koji može da se podeli na više pododeljaka. Za potrebe ovog pravilnika, ako nije navedeno drukčije, pod "odeljkom" se podrazumevaju odeljak i pododeljak;
20) spoljna vrata su pomičan i uklonjiv deo rashladnog uređaja sa funkcijom direktne prodaje čija je funkcija najmanje da omogući stavljanje sadržaja ili vađenje sadržaja iz rashladnog uređaja sa funkcijom direktne prodaje;
21) pododeljak je zatvoren prostor u odeljku čiji se raspon radnih temperatura razlikuje u odnosu na odeljak u kom se nalazi;
22) minibar je rashladni uređaj ukupne zapremine od najviše 60 litara, prvenstveno namenjen za čuvanje i prodaju prehrambenih proizvoda u hotelskim sobama i sličnim prostorima, u skladu sa propisom kojim se uređuje označavanje energetske efikasnosti rashladnih uređaja;
23) prodajno mesto je mesto na kom je rashladni uređaji sa funkcijom direktne prodaje izložen ili ponuđen na prodaju, u zakup ili na prodaju na rate;
24) indeks energetske efikasnosti (EEI) je indeks relativne energetske efikasnosti rashladnog uređaja sa funkcijom direktne prodaje, izražen u procentima (%) i izračunat u skladu sa Prilogom 3, odeljak 2 - Određivanje indeksa energetske efikasnosti;
25) okretna rashladna vitrina je okrugla/kružna vitrina za supermarkete koja je samostojeća ili povezuje dva linearne rashladne vitrine u supermarketu; može da ima mehanizam za okretanje koji omogućava da se prehrambeni proizvodi vide iz svih uglova (360°);
26) rashladna vitrina za supermarkete je rashladni uređaj sa funkcijom direktne prodaje namenjen za prodaju i izlaganje prehrambenih i drugih proizvoda u supermarketima i drugoj maloprodaji. Rashladne vitrine za hlađenje pića, rashladni automati za prodaju, vitrine za sladoled na kugle i zamrzivači za sladoled ne spadaju u vitrine za supermarkete;
27) rashladna vitrina za hlađenje pića je rashladni uređaj sa funkcijom direktne prodaje projektovan da određenom brzinom hladi flaširana nekvarljiva pića, izuzimajući vina, koja se pune na temperaturi okoline a prodaju na temperaturi nižoj od temperature okoline. Pićima se pristupa direktno kroz otvore ili kroz jedna ili više vrata ili ladica, ili na oba načina. Radi uštede energije, temperatura u uređaju može da se povisi u periodu nekorišćenja, jer su pića koja se u njemu skladište nekvarljiva;
28) zamrzivač za sladoled je vodoravno postavljena zatvorena rashladna vitrina za čuvanje i/ili izlaganje i prodaju upakovanog sladoleda, tako što korisnik pristupa upakovanom sladoledu odozgo, otvaranjem neprovidnog ili providnog poklopca, sa neto zapreminom ≤ 600 l; ako je poklopac providan, neto zapremina podeljena sa ukupnom površinom za izlaganje ≥ 0,35 metara [m];
29) providan poklopac su vrata izrađena od najmanje 75% providnog materijala, kroz koja krajnji korisnik može jasno da vidi proizvode;
30) ukupna površina za izlaganje (TDA) je ukupna vidljiva površina na kojoj se nalaze prehrambeni i drugi proizvodi, uključujući površinu koja je vidljiva kroz staklo; izračunava se kao zbir horizontalno i vertikalno projektovanih površina neto zapremine i izražava u kvadratnim metrima [m2];
31) EPREL (baza podataka Evropske unije za proizvode koji utiču na potrošnju energije) je baza podataka u kojoj isporučioci registruju uređaje za koje je potrebno energetsko označavanje pre stavljanja na tržište Evropske unije;
32) QR kod je matrični bar kod na energetskoj oznaci modela proizvoda koji pomoću softverske aplikacije služi kao link ka podacima o proizvodu: u bazi podataka Evropske unije za proizvode koji utiču na potrošnju energije i na koje se primenjuje energetsko označavanje; na internet stranici isporučioca;
33) godišnja potrošnja energije (AE) je prosečna dnevna potrošnja energije pomnožena sa 365 (broj dana u godini), izražena u kilovatsatima godišnje (kWh/god) i izračunata u skladu sa Prilogom 3, odeljak 2 - Određivanje indeksa energetske efikasnosti, tačka 2.1;
34) dnevna potrošnja energije (Edaily) je električna energija koju rashladni uređaj sa funkcijom direktne prodaje potroši za 24 sata u referentnim uslovima, izražena u kilovatsatima na 24 sata (kWh/24 h);
35) standardna godišnja potrošnja energije (SAE) je referentna godišnja potrošnja energije rashladnog uređaja sa funkcijom direktne prodaje, izražena u kilovatsatima godišnje (kWh/god) i izračunata u skladu sa Prilogom 3, odeljak 2 - Određivanje indeksa energetske efikasnosti, tačka 2.3;
36) M i N su parametri modela kojima se uzima u obzir ukupna površina za izlaganje ili zavisnost potrošnje energije od zapremine, sa vrednostima kako su navedene u Prilogu 3, Tabela 2 - Vrednosti za M i N;
37) temperaturni koeficijent (C) je korekcioni faktor kojim se uvažava razlika u radnoj temperaturi;
38) faktor klimatske klase (CC) je korekcioni faktor kojim se uvažava razlika u uslovima okoline za koje je projektovan rashladni uređaj;
39) "P" je korekcioni faktor kojim se uvažava razlika između rashladne vitrine sa ugrađenim i rashladne vitrine sa odvojenim rashladnim sistemom;
40) rashladna vitrina sa ugrađenim rashladnim sistemom je rashladni uređaj sa funkcijom direktne prodaje koji ima ugrađen sistem za hlađenje sa kompresorom i kondenzacionim uređajem;
41) rashladna vitrina za sladoled na kugle je rashladni uređaj sa funkcijom direktne prodaje za čuvanje, izlaganje i vađenje kugli sladoleda unutar propisanih graničnih vrednosti temperature kako su navedene u Prilogu 3, Tabela 3 - Temperaturni uslovi i odgovarajući temperaturni koeficijenti (C);
42) vertikalna rashladna vitrina je rashladni uređaj sa funkcijom direktne prodaje sa vertikalnim ili zakošenim otvorom za izlaganje;
43) poluvertikalna rashladna vitrina je vertikalna rashladna vitrina s vertikalnim ili zakošenim otvorom za izlaganje visoka najviše 1,5 metara [m];
44) kombinovana rashladna vitrina je rashladni uređaj sa funkcijom direktne prodaje kod kog se kombinuju pravac izlaganja proizvoda i otvaranja koji imaju vertikalne i horizontalne rashladne vitrine;
45) deklarisane vrednosti su vrednosti koje je dostavio isporučilac za navedene, izračunate ili izmerene tehničke parametre za potrebu provere u svrhu tržišnog nadzora;
46) frižider je rashladni uređaj sa funkcijom direktne prodaje koji neprekidano održava temperaturu proizvoda smeštenih u rashladnoj vitrini na radnoj temperaturi hlađenja;
47) zamrzivač je rashladni uređaj sa funkcijom direktne prodaje koji neprekidano održava temperaturu proizvoda smeštenih u rashladnoj vitrini na radnoj temperaturi zamrzavanja;
48) rashladna vitrina za kolica je vitrina za supermarkete koja omogućava izlaganje proizvoda na paleti ili postolju koji mogu da se umetnu tako što se donji prednji deo, na mestu gde je pričvršćen, podigne, zaokrene ili pomiče;
49) M-paket je paket za ispitivanje opremljen uređajem za merenje temperature;
50) automat za prodaju sa više temperatura je rashladni automat za prodaju sa najmanje dva odeljka sa različitim radnim temperaturama;
51) prikazni uređaj je bilo koji ekran, uključujući ekran osetljiv na dodir, ili ostala vizuelna tehnologija kojom se korisnicima prikazuje sadržaj sa interneta;
52) ekran na dodir je ekran osetljiv na dodir, kao na tabletu, slejt računaru ili pametnom telefonu;
53) umetnuti displej je vizuelni interfejs, kod kog se skupu slika ili podataka pristupa klikom miša, kretanjem miša ili širenjem ekrana na dodir na drugi skup slika ili podataka;
54) alternativni tekst je tekst dat kao alternativa grafičkom prikazu, koji omogućava prikazivanje podataka u negrafičkom obliku u slučaju kada prikazni uređaji ne omogućavaju grafički prikaz, ili omogućava pristupačnost kao što je unos u aplikacije za sintezu glasa;
Drugi izrazi koji su upotrebljeni u ovom pravilniku, a nisu definisani u stavu 1. ovog člana, imaju značenje definisano propisom kojim se uređuje energetsko označavanje proizvoda koji utiču na potrošnju energije.
Zahtevi koje obezbeđuje isporučilac
Isporučilac koji stavlja na tržište i/ili u upotrebu rashladni uređaj sa funkcijom direktne prodaje, u pogledu oznake energetske efikasnosti (u daljem tekstu: oznaka), liste sa podacima i tehničke dokumentacije, obezbeđuje:
1) da je uz svaki rashladni uređaj sa funkcijom direktne prodaje priložena štampana oznaka čiji su izgled, dizajn i format dati u Prilogu 2 - Oznaka, koji je odštampan uz ovaj pravilnik i čini njegov sastavni deo (u daljem tekstu Prilog 2.);
2) dostupnost liste sa podacima koja je u skladu sa Prilogom 4 - Lista sa podacima, koji je odštampan uz ovaj pravilnik i čini njegov sastavni deo (u daljem tekstu Prilog 4.);
3) da je tehnička dokumentacija o proizvodu, koja je u skladu sa Prilogom 5 - Tehnička dokumentacija, koji je odštampan uz ovaj pravilnik i čini njegov sastavni deo (u daljem tekstu Prilog 5.), dostupna na zahtev nadležnim organima;
4) da svaki vizuelni oglas za određeni model rashladnog uređaja sa funkcijom direktne prodaje sadrži klasu energetske efikasnosti i raspon klasa energetske efikasnosti sa oznake u skladu sa Prilogom 6 - Informacije koje se navode u vizuelnim oglasima, tehničkim promotivnim materijalima i prilikom prodaje na daljinu izuzev prilikom prodaje putem interneta, koji je odštampan uz ovaj pravilnik i čini njegov sastavni deo (u daljem tekstu: Prilog 6.);
5) da svaki tehnički promotivni materijal za određeni model rashladnog uređaja sa funkcijom direktne prodaje, uključujući tehničke promotivne materijale objavljene na internetu, u kojima se navode specifični tehnički parametri, sadrži klasu energetske efikasnosti i raspon klasa energetske efikasnosti sa oznake u skladu sa Prilogom 6 i Prilogom 7 - Informacije koje se navode prilikom prodaje na daljinu putem interneta, koji je odštampan uz ovaj pravilnik i čini njegov sastavni deo (u daljem tekstu: Prilog 7.);
6) da je oznaka u elektronskom obliku, čiji su izgled i sadržaj u skladu sa Prilogom 2, dostupna prodavcima za svaki model rashladnog uređaja sa funkcijom direktne prodaje;
7) da je lista sa podacima u elektronskom obliku, koja je u skladu sa Prilogom 4, dostupna prodavcima za svaki model rashladnog uređaja sa funkcijom direktne prodaje.
Zahtevi koje obezbeđuje prodavac
Prodavac obezbeđuje:
1) da svaki rashladni uređaj sa funkcijom direktne prodaje na prodajnom mestu, uključujući sajmove, ima oznaku koju obezbeđuje isporučilac u skladu sa članom 4. tačka 1) ovog pravilnika, koja je na ugradnim uređajima jasno vidljiva, a na ostalim rashladnim uređajima sa funkcijom direktne prodaje jasno vidljiva i nalazi se na spoljnoj prednjoj ili gornjoj strani rashladnog uređaja;
2) da su u slučaju prodaje na daljinu oznaka i lista sa podacima u skladu sa Prilogom 6, a u slučaju prodaje preko interneta, u skladu sa Prilogom 7;
3) da svaki vizuelni oglas za određeni model rashladnog uređaja sa funkcijom direktne prodaje, uključujući oglase na internetu, sadrži klasu energetske efikasnosti i raspon klasa energetske efikasnosti sa oznake, u skladu sa Prilogom 6 i Prilogom 7;
4) da svaki tehnički promotivni materijal za određeni model rashladnog uređaja sa funkcijom direktne prodaje, uključujući tehničke promotivne materijale objavljene na internetu, u kom se navode specifični tehnički parametri, sadrži klasu energetske efikasnosti i raspon klasa energetske efikasnosti sa oznake, u skladu sa Prilogom 6. i Prilogom 7.
Izgled i dizajn oznake rashladnih uređaja sa funkcijom direktne prodaje, kao i sadržina informacija na oznaci dati su u Prilogu 2.
Klasa energetske efikasnosti na oznaci iz stava 1. ovog člana utvrđuje se na osnovu indeksa energetske efikasnosti, u skladu sa Prilogom 1 - Klase energetske efikasnosti, koji je odštampan uz ovaj pravilnik i čini njegov sastavni deo (u daljem tekstu: Prilog 1.)
Lista sa podacima o rashladnim uređajima sa funkcijom direktne prodaje sadrži informacije navedene u Prilogu 4.
Tehnička dokumentacija za rashladni uređaj sa funkcijom direktne prodaje sadrži informacije navedene u Prilogu 5.
Podaci koji se navode prilikom prodaje na daljinu izuzev prilikom prodaje preko interneta
Prilikom prodaje na daljinu izuzev prilikom prodaje preko interneta, prodavac rashladnog uređaja sa funkcijom direktne prodaje obezbeđuje informacije u skladu sa Prilogom 6.
Podaci koji se navode prilikom prodaje preko interneta
Prilikom prodaje preko interneta, isporučilac rashladnog uređaja sa funkcijom direktne prodaje obezbeđuje informacije u skladu sa Prilogom 7.
Radi usklađenosti i provere usklađenosti sa zahtevima ovog pravilnika vrše se merenja i proračuni korišćenjem srpskih standarda koji su usklađeni sa harmonizovanim standardima, ili primenom drugih pouzdanih, tačnih i ponovljivih mernih metoda, koje uzimaju u obzir opštepriznate najsavremenije metode, u skladu sa Prilogom 3.
Postupak provere u svrhu tržišnog nadzora
U slučaju provere u svrhu tržišnog nadzora primenjuje se postupak provere iz Priloga 8 - Postupak provere u svrhu tržišnog nadzora, koji je odštampan uz ovaj pravilnik i čini njegov sastavni deo (u daljem tekstu Prilog 8.).
Usklađenost sa propisima Evropske unije
Ovaj pravilnik je u potpunosti usklađen sa svim načelima i bitnim zahtevima Delegirane uredbe Komisije (EU) 2019/2018 kojom se dopunjuje Uredba (EU) 2017/1369 Evropskog parlamenta i Saveta u pogledu energetskog označavanja rashladnih uređaja sa funkcijom direktne prodaje.
Ovaj pravilnik stupa na snagu osmog dana od dana objavljivanja u "Službenom glasniku Republike Srbije", osim odredaba čl. 4. i 5. koje se primenjuju po isteku pet meseci od dana stupanja na snagu ovog pravilnika.
Klase energetske efikasnosti rashladnih uređaja sa funkcijom direktne prodaje utvrđuju se na osnovu indeksa energetske efikasnosti (EEI), kako je navedeno u Tabeli ovog priloga - Klase energetske efikasnosti.
Tabela
Klase energetske efikasnosti
Klase energetske efikasnosti |
Indeks energetske efikasnosti (EEI) |
A |
EEI < 10 |
B |
10 ≤ EEI < 20 |
C |
20 ≤ EEI < 35 |
D |
35 ≤ EEI < 50 |
E |
50 ≤ EEI < 65 |
F |
65 ≤ EEI < 80 |
G |
EEI ≥ 80 |
Indeks energetske efikasnosti rashladnog uređaja sa funkcijom direktne prodaje izračunava se u skladu sa tačkom 2 - Određivanje indeksa energetske efikasnosti, Priloga 3.
1. Oznaka za rashladne uređaje sa funkcijom direktne prodaje, osim za rashladne vitrine za hlađenje pića i zamrzivače za sladoled
1.1. Izgled oznake za rashladne uređaje sa funkcijom direktne prodaje, osim za rashladne vitrine za hlađenje pića i zamrzivače za sladoled-,. dat je na slici 1 ovog priloga.

Slika 1
1.2. Na oznaci se nalaze sledeće informacije:
I. QR kod koji pomoću softverske aplikacije služi kao link ka podacima o proizvodu: u bazi podataka Evropske unije za proizvode koji utiču na potrošnju energije i na koje se primenjuje energetsko označavanje; na internet stranici isporučioca;
II. ime ili žig isporučioca;
III. identifikaciona oznaka modela;
IV. skala klasa energetske efikasnosti od A do G;
V. klasa energetske efikasnosti utvrđena u skladu s Prilogom 1;
VI. godišnja potrošnja energije (AE), izražena u kWh godišnje i zaokružena na najbliži ceo broj;
VII.1. kod rashladnih automata za prodaju: zbir neto zapremina svih odeljaka na radnoj temperaturi hlađenja, izražen u litrima (L) i zaokružen na najbliži ceo broj;
VII.2. kod ostalih rashladnih uređaja sa funkcijom direktne prodaje, zbir površina za izlaganje na radnoj temperaturi hlađenja, izražen u kvadratnim metrima (m2) i zaokružen na dva decimalna mesta;
VII.3. kod rashladnih uređaja sa funkcijom direktne prodaje koji ne sadrže odeljke na radnoj temperaturi hlađenja, izostavljaju se piktogram i vrednost u litrima ili kvadratnim metrima;
VIII.1. kod rashladnih uređaja sa funkcijom direktne prodaje čiji su svi odeljci na radnoj temperaturi hlađenja sa istom temperaturnom klasom, osim kod rashladnih automata za prodaju:
- najviša temperatura: najviša temperatura najtoplijeg M - paketa kod odeljaka na radnoj temperaturi hlađenja, izražena u Celzijusovim stepenima (°C) i zaokružena na najbliži ceo broj, kako je navedeno u Tabeli 3 - Temperaturni uslovi i odgovarajući temperaturni koeficijenti (C), Priloga 3;
- najniža temperatura: najniža temperatura najhladnijeg M - paketa kod odeljaka na radnoj temperaturi hlađenja, izražena u Celzijusovim stepenima (°C) i zaokružena na najbliži ceo broj, ili najviša minimalna temperatura svih M - paketa odeljaka na radnoj temperaturi hlađenja, izražena u Celzijusovim stepenima (°C) i zaokružena na najbliži ceo broj, kako je navedeno u Tabeli Temperaturni uslovi i odgovarajući temperaturni koeficijenti (C), Priloga 3;
VIII.2. kod rashladnih automata za prodaju: najviša temperatura uređaja od svih odeljaka na radnoj temperaturi hlađenja, izražena u Celzijusovim stepenima (°C) i zaokružena na najbliži ceo broj, kako je navedeno u Tabeli 3 -Temperaturni uslovi i odgovarajući temperaturni koeficijenti (C), Priloga 3; najniža temperatura se ne navodi;
VIII.3. kod rashladnih uređaje sa funkcijom direktne prodaje koji ne sadrže odeljke na radnoj temperaturi hlađenja, izostavljaju se piktogram i vrednost u Celzijusovim stepenima (°C);
IX.1. kod rashladnih uređaja sa funkcijom direktne prodaje, osim kod rashladnih automata za prodaju: zbir površina za izlaganje na radnoj temperaturi zamrzavanja, izražen u kvadratnim metrima (m2) i zaokružen na dva decimalna mesta;
IX.2. kod rashladnih uređaja sa funkcijom direktne prodaje koji ne sadrže odeljke na radnoj temperaturi zamrzavanja izostavljaju se piktogram i vrednost u kvadratnim metrima
X.1. kod rashladnih uređaja sa funkcijom direktne prodaje čiji su odeljci na radnoj temperaturi zamrzavanja u istoj temperaturnoj klasi, osim kod rashladnih automata za prodaju:
- najviša temperatura: najviša temperatura najtoplijeg M - paketa od svih odeljaka na radnoj temperaturi zamrzavanja, izražena u Celzijusovim stepenima (°C) i zaokružena na najbliži ceo broj, kako je navedeno u Tabeli 3 -Temperaturni uslovi i odgovarajući temperaturni koeficijenti (C), Priloga 3;
- najniža temperatura: najniža temperatura najhladnijeg paketa od odeljaka na radnoj temperaturi zamrzavanja, izražena u Celzijusovim stepenima (°C) i zaokružena na najbliži ceo broj, ili najviša minimalna temperatura svih M- paketa za odeljke na radnoj temperaturi zamrzavanja, izražena u Celzijusovim stepenima b(°C) i zaokružena na najbliži ceo broj kako je navedeno u Tabeli 3 -Temperaturni uslovi i odgovarajući temperaturni koeficijenti (C), Priloga 3;
X.2. kod rashladnih automata za prodaju:
- najviša temperatura: najviša temperatura uređaja od odeljaka na radnoj temperaturi zamrzavanja, izražena u Celzijusovim stepenima (°C) i zaokružena na najbliži ceo broj, kako je navedeno u Tabeli 3 -Temperaturni uslovi i odgovarajući temperaturni koeficijenti (C), Priloga 3; najniža temperatura se ne navodi;
X.3. kod rashladnih uređaja sa funkcijom direktne prodaje koji ne sadrže odeljke na radnoj temperaturi zamrzavanja izostavljaju se piktogram i vrednost u Celzijusovim stepenima (°C)
XI. broj Delegirane uredbe Evropske komisije: 2019/2018.
2. Oznaka za rashladne vitrine za hlađenje pića
2.1. Izgled oznake za rashladne vitrine za hlađenje pića dat je na slici 2 ovog priloga.

Slika 2
2.2. Na oznaci se nalaze sledeće informacije:
I. QR kod;
II. ime ili žig isporučioca;
III. identifikaciona oznaka modela;
IV. skala klasa energetske efikasnosti od A do G;
V. klasa energetske efikasnosti utvrđena u skladu sa Prilogom 1;
VI. godišnja potrošnja energije (AE), izražena u kWh godišnje i zaokružena na najbliži ceo broj;
VII. zbir bruto zapremina svih odeljaka na radnoj temperaturi hlađenja. izražen u litrima (L) i zaokružen na najbliži ceo broj;
VIII. najviša prosečna temperatura odeljka od svih odeljaka na radnoj temperaturi hlađenja, izražena u Celzijusovim stepenima (°C) i zaokružena na najbliži ceo broj, kako je navedeno u Tabeli 4 - Temperaturne klase i odgovarajuće prosečne temperature odeljaka (Tc) za rashladne vitrine za hlađenje pića, Priloga 3;
IX. najviša temperatura okoline, izražena u Celzijusovim stepenima (°C) i zaokružena na najbliži ceo broj, kako je navedeno u Tabeli 5 - Radni uslovi i CC za rashladne vitrine za hlađenje pića, Priloga 3.
X. broj Delegirane uredbe Evropske komisije: 2019/2018.
3. Oznaka za zamrzivače za sladoled
3.1. Izgled oznake za zamrzivače za sladoled dat je na slici 3 ovog priloga.

Slika 3
3.2. Na oznaci se nalaze sledeće informacije:
I. QR kod;
II. ime ili žig isporučioca;
III. identifikaciona oznaka modela;
IV. skala klasa energetske efikasnosti od A do G;
V. klasa energetske efikasnosti utvrđena u skladu sa Prilogom 1;
VI. godišnja potrošnja energije (AE), izražena u kWh godišnje i zaokružena na najbliži ceo broj;
VII. zbir neto zapremina svih odeljaka na radnoj temperaturi zamrzavanja. izražen u litrima (L) i zaokružen na najbliži ceo broj;
VIII: najviša prosečna temperatura kod svih odeljaka na radnoj temperaturi zamrzavanja, izražena u Celzijusovim stepenima (°C) i zaokružena na najbliži ceo broj, kako je navedeno u Tabeli 6 - Temperaturne klase i odgovarajuće prosečne temperature odeljaka (Tc) za zamrzivače za sladoled, Priloga 3.
IX. najviša temperatura okoline, izražena u Celzijusovim stepenima (°C) i zaokružena na najbliži ceo broj, kako je navedeno u Tabeli 7 - Radni uslovi i odgovarajuće vrednosti za CC za zamrzivače za sladoled, Priloga 3;
X. broj Delegirane uredbe Evropske komisije: 2019/2018.
4. Dizajn oznake
4.1. Dizajn oznake za rashlade uređaje sa funkcijom direktne prodaje, osim za rashlade vitrine za hlađenje piće i za zamrzivače za sladoled dat je na slici 4 ovog priloga.

Slika 4
4.2. Dizajn oznake za rashladne vitrine za hlađenje pića dat je na slici 5 ovog priloga.

Slika 5
4.3. Dizajn oznake za zamrzivače za sladoled dat je na slici 6. ovog priloga.

Slika 6


Ako je neki parametar deklarisan u skladu sa Tabelom - Tehnički parametri modela i njihove deklarisane vrednosti, Priloga 5, isporučilac koristi njegovu deklarisanu vrednost za izračunavanja u skladu sa ovim prilogom.
1. Opšti uslovi ispitivanja:
1.1. ambijentalni uslovi odgovaraju grupi 1. iz Tabele 1 - Ambijentalni uslovi ovog priloga (u daljem tekstu: Tabela 1), osim za zamrzivače za sladoled i vitrine za sladoled na kugle koji se ispituju u ambijentalnim uslovima koji odgovaraju grupi 2. iz Tabele 1;
1.1. ako odeljak može da se podesi na različite temperature, ispitivanje se vrši na najnižoj radnoj temperaturi;
1.2. rashladni automati za prodaju sa odeljcima promenljive neto zapremine ispituju se tako što se odeljak s najvišom radnom temperaturom podešava na najmanju neto zapreminu;
1.3. specifična brzina hlađenja rashladnih vitrina za hlađenje pića zavisi od vremena vraćanja na radnu temperaturu kada se polovina proizvoda u uređaju zameni neohlađenim proizvodima.
Tabela 1
Ambijentalni uslovi
|
Temperatura na suvom termometru, °C |
Relativna vlažnost, % |
Tačka orošavanja, °C |
Masa vodene pare u suvom vazduhu, g/kg |
Grupa 1. |
25 |
60 |
16,7 |
12,0 |
Grupa 2. |
30 |
55 |
20,0 |
14,8 |
2. Određivanje indeksa energetske efikasnosti
2.1. Za sve rashladne uređaje sa funkcijom direktne prodaje, indeks energetske efikasnosti (EEI), izražen u % i zaokružen na jedno decimalno mesto je odnos AE (u kWh/god) i SAE (u kWh/god):
EEI = AE/SAE
2.2. AE, izražen u kWh/god i zaokružen na dva decimalna mesta, računa se na sledeći način:
AE = 365 × Edaily;
pri čemu je Edaily potrošnja energije rashladnog uređaja sa funkcijom direktne prodaje tokom 24 sata izražena u kWh/24 h, zaokružena na tri decimalna mesta i izračunata u skladu sa temperaturnim uslovima za odgovarajuću temperaturnu klasu iz Tabele 3 - Temperaturni uslovi i odgovarajući temperaturni koeficijenti (C), ovog priloga;
2.3. SAE se izražava u kWh/god i zaokružuje na dva decimalna mesta.
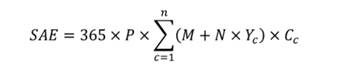
Za rashladne uređaje sa funkcijom direktne prodaje čiji su odeljci u istoj temperaturnoj klasi i za rashladne automate za prodaju, SAE se izračunava na sledeći način:
SAE = 365 × P × (M + N × Y) × C.
Za rashladne uređaje sa funkcijom direktne prodaje čiji su odeljci u različitim temperaturnim klasama, osim za rashladne automate za prodaju, SAE se izračunava na sledeći način:

pri čemu:
2.3.1. c je indeksni broj za tip odeljka u rasponu od 1 do n, gde je n ukupan broj tipova odeljaka;
2.3.2. vrednosti za M i N su navedene u Tabeli 2 - Vrednosti za M i N, ovog priloga;
2.3.3. vrednosti za C i temperaturni koeficijenat navedeni su u Tabeli 3 Temperaturni uslovi i odgovarajući temperaturni koeficijent (C), ovog priloga.
Tabela 2
Vrednosti za M i N
Kategorija |
Vrednost M |
Vrednost N |
Rashladne vitrine za hlađenje pića |
2,1 |
0,006 |
Zamrzivači za sladoled |
2,0 |
0,009 |
Rashladni automati za prodaju |
4,1 |
0,004 |
Rashladne vitrine za sladoled na kugle |
25,0 |
30,400 |
Vertikalne i kombinovane rashladne vitrine za supermarkete |
9,1 |
9,100 |
Horizontalne rashladne vitrine za supermarkete |
3,7 |
3,500 |
Vertikalne i kombinovane vitrine za zamrzavanje za supermarkete |
7,5 |
19,300 |
Horizontalne vitrine za zamrzavanje za supermarkete |
4,0 |
10,300 |
Rashladne vitrine za kolica |
9,1 |
9,100 |
Tabela 3
Temperaturni uslovi i odgovarajući temperaturni koeficijenti (C)
a) Rashladne vitrine za supermarkete
Kategorija |
Temperaturna klasa |
Najviša temperatura najtoplijeg M - paketa (°C) |
Najniža temperatura najhladnijeg M - paketa (°C) |
Najviša minimalna temperatura svih M - paketa (°C) |
Vrednost C |
Vertikalne i kombinovane rashladne vitrine za supermarkete |
M2 |
≤ +7 |
≥ -1 |
n. p. |
1,00 |
H1 i H2 |
≤ +10 |
≥ -1 |
n. p. |
0,82 |
|
M1 |
≤ +5 |
≥ -1 |
n. p. |
1,15 |
|
Horizontalne rashladne vitrine za supermarkete |
M2 |
≤ +5 |
≥ -1 |
n. p. |
1,00 |
H1 i H2 |
≤ +10 |
≥ -1 |
n. p. |
0,92 |
|
M1 |
≤ +5 |
≥ -1 |
n. p. |
1,08 |
|
Vertikalne i kombinovane vitrine za zamrzavanje za supermarkete |
L1 |
≤ +5 |
n. p. |
≤ -18 |
1,00 |
L2 |
≤ +5 |
n. p. |
≤ -18 |
0,90 |
|
L3 |
≤ +5 |
n. p. |
≤ -15 |
0,90 |
|
Horizontalne vitrine za zamrzavanje za supermarkete |
L1 |
≤ +5 |
n. p. |
≤ -18 |
1,00 |
L2 |
≤ +5 |
n. p. |
≤ -18 |
0,92 |
|
L3 |
≤ +5 |
n. p. |
≤ -15 |
0,92 |
b) Rashladne vitrine za sladoled na kugle
Temperaturna klasa |
Najviša temperatura najtoplijeg M - paketa (°C) |
Najniža temperatura najhladnijeg M - paketa (°C) |
Najviša minimalna temperatura svih M - paketa (°C) |
Vrednost C |
G1 |
-10 |
-14 |
n. p. |
1,00 |
G2 |
-10 |
-16 |
n. p. |
1,00 |
G3 |
-10 |
-18 |
n. p. |
1,00 |
L1 |
-15 |
n. p. |
-18 |
1,00 |
L2 |
-12 |
n. p. |
-18 |
1,00 |
L3 |
-12 |
n. p. |
-15 |
1,00 |
S |
Posebna klasifikacija |
1,00 |
||
v) Rashladni automati za prodaju
Temperaturna klasa** |
Maksimalna izmerena temperatura proizvoda (TV) (°C) |
Vrednost C |
1. kategorija |
7 |
1 + (12 - TV)/25 |
2. kategorija |
12 |
|
3. kategorija |
3 |
|
4. kategorija |
(TV1+TV2)/2* |
|
6. kategorija |
(TV1+TV2)/2* |
g) Drugi rashladni uređaji sa funkcijom direktne prodaje
Kategorija |
Vrednost C |
Ostali uređaji |
1,00 |
* Kod automata za prodaju sa više temperatura, TV je prosek vrednosti TV1 (najviša izmerena temperatura proizvoda u najtoplijem odeljku) i TV2 (najviša izmerena temperatura proizvoda u najhladnijem odeljku).
** 1. kategorija - rashladni uređaji sa zatvorenom prednjom stranom za limenke i boce koje su naslagane jedne na druge, 2. kategorija - rashladni uređaji sa staklenom prednjom stranom za limenke i boce, poslastice i grickalice, 3. kategorija - rashladni uređaji sa staklenom prednjom stranom isključivo za kvarljive prehrambene proizvode, 4. kategorija - rashladni uređaji sa staklenom prednjom stranom sa više temperatura, 6. kategorija - kombinovani uređaji sa više kategorija uređaja u istom kućištu sa jednom jedinicom za hlađenje.
n.p. - nije primenjivo
2.3.4. koeficijent Y izračunava se na sledeći način:
a) Za rashladne vitrine za hlađenje pića, Yc je ekvivalentno zapremini odeljaka rashladne vitrine za hlađenje pića sa ciljnom temperaturom Tc, (Veqc) i računa se na sledeći način:
Yc = Veqc = Bruto zapremina c × ((25 - Tc)/20) × CC;
pri čemu je Tc prosečna temperatura odeljka, a CC faktor klimatske klase.
Vrednosti za Tc navedene su u Tabeli 4 - Temperaturne klase i odgovarajuće prosečne temperature odeljaka (Tc) za rashladne vitrine za hlađenje pića, ovog priloga.
Vrednosti za CC navedene su u Tabeli 5 - Radni uslovi i CC za rashladne vitrine za hlađenje pića, ovog priloga.
Tabela 4
Temperaturne klase i odgovarajuće prosečne temperature odeljaka (Tc) za rashladne vitrine za hlađenje pića
Temperaturna klasa |
Tc (°C) |
K1 |
+3,5 |
K2 |
+2,5 |
K3 |
-1,0 |
K4 |
+5,0 |
Tabela 5
Radni uslovi i CC za rashladne vitrine za hlađenje pića
Najviša temperatura okoline (°C) |
Relativna vlažnost okoline (%) |
CC |
+25 |
60 |
1,00 |
+32 |
65 |
1,05 |
+40 |
75 |
1,10 |
b) Za zamrzivače za sladoled, Yc je ekvivalentno zapremini odeljaka zamrzivača za sladoled sa ciljnom temperaturom Tc, (Veqc) i izračunava se na sledeći način:
Yc = Veqc = Neto zapremina × ((12 - Tc)/30) × CC;
pri čemu je Tc prosečna temperatura odeljaka a CC klimatska klasa.
Vrednosti za Tc navedene su u Tabeli 6 - Temperaturne klase i odgovarajuće prosečne temperature odeljaka (Tc) za zamrzivače za sladoled, ovog priloga.
Vrednosti za CC navedene su u Tabeli 7 - Radni uslovi i odgovarajuće vrednosti za CC za zamrzivače za sladoled, ovog priloga.
Tabela 6
Temperaturne klase i odgovarajuće prosečne temperature odeljaka (Tc) za zamrzivače za sladoled
Temperaturna klasa |
Tc (°C) |
|
Temperatura najtoplijeg M-paketa iznosi najviše, u svim ispitivanjima (osim ispitivanja sa otvorenim poklopcem (°C) |
Najviše dozvoljeno povišenje temperature najtoplijeg M-paketa pri ispitivanju s otvorenim poklopcem (°C) |
|
-18 |
2 |
-18,0 |
-7 |
2 |
-7,0 |
Tabela 7
Radni uslovi i odgovarajuće vrednosti za CC za zamrzivače za sladoled
|
Minimalna |
Maksimalna |
CC |
||
Temperatura okoline (°C) |
Relativna vlažnost okoline (%) |
Temperatura okoline (°C) |
Relativna vlažnost okoline (%) |
||
Zamrzivač za sladoled sa providnim poklopcem |
16 |
80 |
30 |
55 |
1,00 |
35 |
75 |
1,10 |
|||
40 |
40 |
1,20 |
|||
Zamrzivač za sladoled sa neprovidnim poklopcem |
16 |
80 |
30 |
55 |
1,00 |
35 |
75 |
1,04 |
|||
40 |
40 |
1,10 |
|||
v) za rashladne automate za prodaju, Y je neto zapremina rashladnog automata za prodaju, odnosno zbir zapremina odeljaka u kojima su smešteni proizvodi direktno dostupni za prodaju i zapremine prostora kroz koje proizvodi prolaze tokom postupka prodaje, izražena u litrima (L) i zaokružena na najbliži ceo broj;
g) Za ostale rashladne uređaje sa funkcijom direktne prodaje, Yc je zbir ukupne površine za izlaganje odeljaka iste temperaturne klase u rashladnom uređaju sa funkcijom direktne prodaje, izražen u kvadratnim metrima (m2) i zaokružen na dva decimalna mesta;
2.3.5. vrednosti za P navedene su u Tabeli 8 - Vrednosti P, ovog priloga.
Tabela 8
Vrednosti P
Vrsta rashladnog uređaja |
P |
Rashladna vitrina za supermarkete sa ugrađenim rashladnim sistemom |
1,10 |
Drugi rashladni uređaji sa funkcijom direktne prodaje |
1,00 |
Podaci koji se upisuju u Listu sa podacima rashladnog uređaja sa funkcijom direktne prodaje dati su u Tabeli - Lista sa podacima, ovog priloga
Tabela
Lista sa podacima
Ime ili žig isporučioca |
|
|
Adresa isporučioca: |
|
|
Identifikaciona oznaka modela: |
|
|
Upotreba: |
Izlaganje i prodaja |
|
Vrsta rashladnog uređaja s funkcijom direktne prodaje: |
||
Kod grupe uređaja u skladu sa harmonizovanim standardima ili drugim pouzdanim, tačnim i ponovljivim mernim metodama u skladu sa Prilogom 3. |
Na primer: [HC1/…/HC8], [VC1/…/VC4] |
|
Specifični parametri određenih proizvoda |
||
1. Rashladne vitrine za hlađenje pića:
Ambijentalni uslovi za koje je uređaj pogodan |
||
Bruto zapremina |
Najviša temperatura (°C) |
Relativna vlažnost (%) |
x |
x |
x |
2. Zamrzivači za sladoled sa [providnim/neprovidnim] poklopcem:
Bruto zapremina |
Ambijentalni uslovi za koje je uređaj odgovarajući |
|||
Temperaturni raspon (°C) |
Raspon relativne vlažnosti (%) |
|||
minimalno |
maksimalno |
minimalno |
maksimalno |
|
x |
x |
x |
x |
x |
3. Rashladna vitrina za sladoled na kugle
Ukupna površina za izlaganje (m2) |
Temperaturna klasa (u skladu sa Tabelom 3. Priloga 3) |
x,xx |
[G1/G2/G3/L1/L2/L3/S] |
4. [Horizontalna/vertikalna (koja nije poluvertikalna)/poluvertikalna/kombinovana] rashladna vitrina za supermarkete sa [ugrađenim rashladnim sistemom/odvojenim rashladnim sistemom], za kolica: [da/ne]:
Ukupna površina za izlaganje (m2) |
Temperaturna klasa (u skladu sa Tabelom 3 Priloga 3.) |
x,xx |
[frižider: [M2/H1/H2/M1]/zamrzivač:[L1/L2/L3]] |
5. Rashladni automati za prodaju, [rashladni uređaji sa zatvorenom prednjom stranom za limenke i boce koje su naslagane jedne na druge/rashladni uređaji sa staklenom prednjom stranom za [za limenke i boce, poslastice i grickalice/isključivo za kvarljive prehrambene proizvode]/sa više temperatura za [uneti vrstu prehrambenog proizvoda za koju je namenjen]/kombinovani uređaji sa više kategorija uređaja u istom kućištu sa jednom jedinicom za hlađenje za [uneti vrstu prehrambenog proizvoda za koju je namenjen]]:
Zapremina (dm3 ili L) |
Temperaturna klasa (u skladu sa Tabelom 3 Priloga 3.) |
x |
kategorija [1/2/3/4/6] |
Opšti parametri proizvoda:
Parametar |
Vrednost |
Parametar |
Vrednost |
Godišnja potrošnja energije (kWh/god) (a) |
x,xx |
Preporučene temperature za optimalno čuvanje hrane (°C) (Te postavke ne mogu da budu u suprotnosti sa uslovima čuvanja iz tabela 3, 4. ili 5. Priloga 3, kako je primenljivo |
x |
EEI |
x,x |
Klasa energetske efikasnosti |
[A/B/C/D/E/F/G] |
Parametri izvora svetlosti:
Vrsta izvora svetlosti |
[tip] |
Klasa energetske efikasnosti |
[A/B/C/D/E/F/G] |
|
|
Najkraće trajanje garancije koje nudi proizvođač |
|
Dodatne informacije: |
|
Ako se rashladni uređaj sa funkcijom direktne prodaje sastoji od različitih odeljaka koji rade na različitim temperaturama, navodi se godišnja potrošnja energije cele jedinice. Ako različiti rashladni sistemi hlade različite odeljke istog uređaja, navodi se i potrošnja energije povezana sa svakim podsistemom, ako je moguće.
Tehnička dokumentacija iz člana 4. stav 1. tačka 3. ovog pravilnika sadrži:
(1) opšti opis modela dovoljan za njegovu nedvosmislenu i jednostavnu identifikaciju;
(2) navođenje harmonizovanih standarda ili drugih standarda koji su primenjeni prilikom merenja;
(3) mere predostrožnosti koje je potrebno preduzeti u slučaju kada se model sklapa, instalira, održava ili ispituje;
(4) vrednosti tehničkih parametara iz Tabele - Tehnički parametri modela i njihove deklarisane vrednosti, ovog priloga; ove vrednosti se smatraju kao deklarisane vrednosti u slučaju provere u svrhu tržišnog nadzora iz Priloga 8;
(5) detalje i rezultate proračuna izvršenih u skladu sa Prilogom 3;
(6) uslove ispitivanja ako nisu dovoljno opisani u podtački (2) ove tačke;
(7) ekvivalentne modele, ako postoje, uključujući identifikacionu oznaku modela:
Tabela
Tehnički parametri modela i njihove deklarisane vrednosti
Opšti opis modela rashladnog uređaja sa funkcijom direktne prodaje dovoljan za njegovu nedvosmislenu i jednostavnu identifikaciju: |
|||
Specifikacija proizvoda |
|||
Opšta specifikacija proizvoda |
|||
Parametar |
Vrednost |
Parametar |
Vrednost |
Godišnja potrošnja energije (kWh/god) |
x,xx |
Standardna godišnja potrošnja energije (kWh/god) |
x,xx |
Dnevna potrošnja energije (kWh/24 h) |
x,xxx |
Ambijentalni uslovi |
[Grupa 1/ Grupa 2] |
M |
x,x |
N |
x,xxx |
Temperaturni koeficijent (C) |
x,xx |
Y |
x,xx |
P |
x,xx |
Ciljna temperatura (Tc) (°C) - samo za rashlade vitrine za hlađenje pića i zamrzivače za sladoled |
x,x |
Faktor klimatske klase (CC) - samo za rashlade vitrine za hlađenje pića i zamrzivače za sladoled |
x,xx |
|
|
Dodatne informacije: |
|||
Navođenje harmonizovanih standarda ili drugih pouzdanih, tačnih i ponovljivih metoda koje su primenjene |
|||
Ako je primenljivo, ime i prezime i potpis lica koje je ovlašćeno za zastupa isporučioca: |
|||
Spisak ekvivalentnih modela, uključujući identifikacionu oznaku modela: |
|||
Samo za rashladne vitrine za hlađenje pića i zamrzivače za sladoled |
|||
Dodatna specifikacija proizvoda za rashladne vitrine za hlađenje pića: |
|||
Parametar |
Vrednost |
||
Bruto zapremina (u dm3 ili L) |
x |
||
Ambijentalni uslovi za koje je uređaj pogodan (u skladu sa Tabelom 5 iz Priloga 3) |
Najviša temperatura (°C) |
x |
|
x |
|
||
Dodatna specifikacija za zamrzivače za sladoled sa providnim/neprovidnim poklopcem: |
|||
Parametar |
Vrednost |
||
Neto zapremina (u dm3 ili L) |
x |
||
Ambijentalni uslovi za koje je uređaj pogodan (u skladu sa Tabelom 7 Priloga 3) |
Temperaturni opseg (°C) |
Minimum |
x |
Maksimum |
x |
||
Opseg relativne vlažnosti (%) |
Minimum |
x |
|
Maksimum |
x |
||
Dodatna specifikacija za rashladne vitrine za sladoled na kugle |
|||
Parametar |
Vrednost |
||
Ukupna površina za izlaganje (m2) |
x, xx |
||
Temperaturna klasa |
XY |
||
Dodatne specifikacija za rashladne vitrine za supermarkete: |
|||
Parametar |
Vrednost |
||
Ukupna površina za izlaganje (m2) |
x,xx |
||
Temperaturna klasa |
XY |
||
Dodatna specifikacija proizvoda za rashladne automate za prodaju: |
|||
Parametar |
Vrednost |
||
Temperaturna klasa |
XY |
||
Zapremina (u dm3 ili L) |
x |
||
2. Ako su informacije iz tehničke dokumentacije za određeni model dobijene:
(1) od modela koji ima iste tehničke karakteristike relevantne za tehničke informacije koje treba pružiti, koji je proizveo drugi proizvođač; ili
(2) proračunom na osnovu dizajna ili ekstrapolacijom od drugog modela istog ili drugog proizvođača, ili na oba načina;
tehnička dokumentacija uključuje pojedinosti takvog proračuna, procenu koju je proizvođač sproveo kako bi proverio tačnost proračuna i, prema potrebi, izjavu o istovetnosti modela koji potiču od različitih proizvođača.
INFORMACIJE KOJE SE NAVODE U VIZUELNIM OGLASIMA, TEHNIČKIM PROMOTIVNIM MATERIJALIMA I PRILIKOM PRODAJE NA DALJINU IZUZEV PRILIKOM PRODAJE PUTEM INTERNETA
1. U vizuelnim oglasima, radi obezbeđivanja usaglašenosti sa zahtevima iz člana 4. tačka 4. ovog pravilnika, klasa energetske efikasnosti i raspon klasa energetske efikasnosti sa oznake prikazuju se kako je navedeno u tački 4. ovog priloga;
2. U tehničkim promotivnim materijalima, radi obezbeđivanja usaglašenosti sa zahtevima iz člana 4. tačka 5. ovog pravilnika, klasa energetske efikasnosti i raspon klasa energetske efikasnosti sa oznake prikazuju se kako je navedeno u tački 4. ovog priloga;
3. Pri svakoj prodaji na daljinu u papirnom obliku navode se klasa energetske efikasnosti i raspon klasa energetske efikasnosti sa oznake, kako je navedeno u tački 4. ovog priloga.
4. Klasa energetske efikasnosti i raspon klasa energetske efikasnosti prikazuju se kako je prikazano na slici 1 ovog priloga, pri čemu:
4.1. strelica koja sadrži slovo klase energetske efikasnosti je u 100% beloj boji i podebljanom fontu Calibri, u veličini koja je najmanje jednaka veličini cene ako je prikazana;
4.2. boja strelice odgovara boji klase energetske efikasnosti;
4.3. raspon klasa energetske efikasnosti je u 100% crnoj boji;
4.4. strelica je dovoljno velika da može jasno da se vidi i pročita. Slovo unutar strelice klase energetske efikasnosti je u centru pravouglog dela strelice; slovo i strelica su oivičeni linijom debljine 0,5 pt u 100% crnoj boji.
Ako se vizuelni oglas, tehnički promotivni materijal ili materijal za potrebe prodaje na daljinu u papirnom obliku štampa u crno-beloj tehnici, boja strelice može da bude crno-bela.
Slika 1
Primer leve/desne crno-bele strelice/strelice u boji,
s navedenim rasponom klasa energetske efikasnosti

5. Prilikom prodaji na daljinu u obliku telemarketinga kupac se obaveštava o klasi energetske efikasnosti proizvoda i o rasponu klasa energetske efikasnosti sa oznake i ima pristup punoj oznaci i listi sa podacima elektronskim putem, ili na osnovu zahteva za dobijanje štampanog primerka.
6. U slučajevima iz tač. 1-3 i tačke 5. ovog priloga, kupcu se na zahtev omogućava dobijanje štampanog primerka oznake i liste sa podacima o proizvodu.
INFORMACIJE KOJE SE NAVODE PRILIKOM PRODAJE NA DALJINU PUTEM INTERNETA
1. Odgovarajuća oznaka koju isporučioci stavljaju na raspolaganje prodavcu u skladu sa članom 4. tačka 6) ovog pravilnika prikazuje se na sredstvu prikaza u blizini cene proizvoda. Oznaka je dovoljno velika da je jasno vidljiva i čitka, pri čemu je srazmerna veličini iz Priloga 2. tačka 4 - Dizajn oznake. Ako je oznaka u umetnutom prikazu, slika koja se upotrebljava za pristup oznaci u skladu je sa specifikacijama iz tačke 3. ovog priloga. Ako se koristi umetnut prikaz, oznaka se prikazuje na prvi klik miša, pomicanjem miša ili širenjem slike na ekranu osetljivom na dodir.
2. Slika koja se kod umetnutog prikaza koristi za pristup oznaci ima karakteristike kao na slici 1. ovog priloga, pri čemu:
2.1. strelica je u boji klase energetske efikasnosti proizvoda sa oznake;
2.2. na strelici se navodi klasa energetske efikasnosti proizvoda u 100% beloj boji, u podebljanom fontu Calibri i veličini koja je jednaka veličini slova kojima se navodi cena;
2.3. raspon raspoloživih klasa energetske efikasnosti je u 100% crnoj boji;
2.4. strelica je postavljena na jedan od dva data načina na slici 1 ovo priloga i u veličini da je jasno vidljiva i čika. Slovo klase energetske efikasnosti unutar strelice nalazi se u centru pravouglog dela strelice; slovo i strelica su oivičeni linijom u 100 % crnoj boji:
Slika 1
Primer leve/desne strelice u boji sa navedenim rasponom klasa energetske efikasnosti

3. U slučaju umetnutog prikaza, redosled prikaza oznake je sledeći:
3.1. slika iz tačke 2. ovog priloga prikazuje se na sredstvu prikaza u blizini cene proizvoda;
3.2. slika sadrži link ka oznaci iz Priloga 2;
3.3. oznaka se prikazuje na prvi klik miša, pomicanja miša ili širenja ekrana osetljivog na dodir;
3.4. oznaka se prikazuje u iskačućem prozoru, u novoj kartici, na novoj stranici ili u umetnutom prikazu na ekranu;
3.5. za uvećavanje oznake na ekranima osetljivim na dodir primenjuju se uobičajeni načini koji se na uređajima primenjuju za uvećavanje na dodir;
3.6. za prestanak prikazivanja oznake postoji mogućnost zatvaranja ili drugi standardni mehanizam zatvaranja;
3.7. u tekstu koji je alternativa grafičkom prikazu i koji se prikazuje u slučaju neuspešnog prikaza oznake, navodi se klasa energetske efikasnosti proizvoda u veličini fonta koja je jednaka veličini fonta u kojem je navedena cena.
4. Lista sa podacima u elektronskom obliku koju isporučilac stavljaj na raspolaganje u skladu s članom 4. tačka 7. ovog pravilnika prikazuje se na sredstvu prikaza u blizini cene proizvoda, u veličini da je jasno vidljiva i čitka. Lista sa podacima može da se nalazi u umetnutom prikazu, ili da se dobije upućivanjem na bazu podataka o proizvodu i u tom slučaju se u linku koji se koristi za pristup listi sa podacima jasno i čitko navodi "Lista sa podacima". Ako se upotrebljava umetnuti prikaz, lista sa podacima pojavljuje se na prvi klik mišem, pomicanjem miša uli širenjem ekrana osetljivog na dodir.
POSTUPAK PROVERE U SVRHU TRŽIŠNOG NADZORA
Dozvoljena odstupanja pri proveri u svrhu tržišnog nadzora iz ovog priloga odnose se samo na proveru deklarisanih parametara. Isporučilac ne može da koristi ta odstupanja kao dozvoljeno prilikom utvrđivanja vrednosti u tehničkoj dokumentaciji. Vrednosti i klase navedene na oznaci ili u listi sa podacima nisu povoljnije za isporučioca od vrednosti navedenih u tehničkoj dokumentaciji.
Ako je model projektovan tako da može da detektuje kad je podvrgnut ispitivanju (npr. prepoznavanjem ispitnih uslova ili ciklusa), pa reaguje automatskim menjanjem svog rada u toku ispitivanja kako bi se postigle povoljnije vrednosti za bilo koji od parametara utvrđenih u ovom pravilniku, ili koje je proizvođač ili uvoznik deklarisao u tehničkoj dokumentaciji ili bilo kojoj priloženoj dokumentaciji, ni model ni ekvivalentni modeli ne smatraju se usaglašenim.
Pri proveri usaglašenosti modela proizvoda sa zahtevima ovog pravilnika, primenjuje se sledeći postupak:
1. proverava se samo jedna jedinica modela;
2. smatra se da je model u skladu s primenljivim zahtevima:
2.1. ako vrednosti navedene u tehničkoj dokumentaciji (deklarisane vrednosti) i, prema potrebi, vrednosti upotrebljene za proračun tih vrednosti nisu povoljnije za isporučioca od odgovarajućih vrednosti navedenih u izveštaju o ispitivanju;
2.2. ako vrednosti navedene na oznaci i u listi sa podacima nisu povoljnije za isporučioca od deklarisanih vrednosti i navedena klasa energetske efikasnosti nije povoljnija za isporučioca od klase utvrđene na osnovu deklarisanih vrednosti;
2.3. utvrđene vrednosti prilikom provere u svrhu tržišnog nadzora (tj. vrednosti relevantnih parametara izmerene prilikom ispitivanja i vrednosti izračunate na osnovu tih merenja) u skladu su sa odgovarajućim dozvoljenim odstupanjima pri proveri iz Tabele - Dozvoljena odstupanja pri proveri (u daljem tekstu: Tabela), ovog priloga;
3. ako rezultati iz tačke 2. podtač. 2.1. i 2.2. ovog priloga nisu postignuti, smatra se da model ni svi ekvivalentni modeli nisu u skladu s ovim pravilnikom;
4. ako se ne postigne rezultat iz tačke 2. podtačka 2.3. ovog priloga, biraju se tri dodatne jedinice istog modela za ispitivanje. Alternativno, tri dodatne izabrane jedinice mogu da se uzmu od jednog ili više ekvivalentnih modela;
5. smatra se da je model u skladu s primenljivim zahtevima ako je, za tri dodatne jedinice, aritmetička sredina izračunatih vrednosti u skladu s odgovarajućim odstupanjima navedenima u Tabeli;
6. ako se ne postigne rezultat iz tačke 5. ovog priloga, smatra se da model ni ekvivalentni modeli nisu u skladu s ovim pravilnikom;
Prilikom provere u svrhu tržišnog nadzora primenjuju se merne metode i proračuni iz Priloga 3.
Prilikom provere u svrhu tržišnog nadzora primenjuju se isključivo dozvoljena odstupanja pri proveri iz Tabele i isključivo postupak opisan u tač. 1-6. ovog priloga. Za parametre iz Tabele ne primenjuju se nikakva druga dozvoljena odstupanja, poput onih navedenih u harmonizovanim standardima ili bilo kojoj drugoj mernoj metodi.
Tabela
Dozvoljena odstupanja pri proveri
Parametri |
Dozvoljena odstupanja pri proveri |
Neto zapremina i, prema potrebi, neto zapremina odeljka |
Utvrđena vrednost nije više od 3% ili 1 litar manja od deklarisane vrednosti, u zavisnosti od toga koja je od tih vrednosti veća. |
Bruto zapremina i, prema potrebi, bruto zapremina odeljka |
Utvrđena vrednost(nije više od 3% ili 1 litar manja od deklarisane vrednosti u zavisnosti od toga koja je od tih vrednosti veća. |
Ukupna površina za izlaganje i, prema potrebi, ukupna površina za izlaganje odeljka |
Utvrđena vrednost nije niža od deklarisane vrednosti za više od 3%. |
E daily |
Utvrđena vrednost nije viša od deklarisane vrednosti za više od 10%. |
AE |
Utvrđena vrednost nije viša od deklarisane vrednosti za više od 10 %. |
U slučaju da se ispituju tri dodatne jedinice u skladu sa tačkom 4. ovog priloga, utvrđena vrednost je aritmetička sredina vrednosti dobijenih za te tri dodatne jedinice.